1. 群的定义
群(Group)是一种集合加上一种运算的代数结构,以A表示集合,“·”表示运算,则群一般写作 G(A, ·)。群要求满足以下四个条件:
举个例子,旋转矩阵和乘法可以构成旋转矩阵群,因为其满足:
1). 旋转矩阵相乘后仍是旋转矩阵;
2). 矩阵乘法满足结合律;
3). 幺元为单位矩阵,也属旋转矩阵;
4). 旋转矩阵的逆也为旋转矩阵,且相乘为单位矩阵。
常见的群有:
2. 李群
李群是指拥有(连续)光滑性质的群,比如上面提到的旋转矩阵群,因其能在空间中连续旋转,变换矩阵群也是李群(就是在旋转过程中加上平移)。
3. 李代数的引入
直观的导出
在视觉SLAM中,我们需要做的就是不断计算相机的位姿和构建地图(其中的相机位姿表现在其变换矩阵T),但由于干扰的存在,我们无法准确获得所需要的信息,所以我们转而求其最小误差。\
现假设我们有N个三维点p和对应的观测值z,那么我们的目标就是寻找一个最佳的位姿T,使得整体误差最小化,也就是求:
要求解上面的方程,即是要求目标函数J对T的导数,但由于T所在的变换矩阵群(下面用SO(3)空间表示)对加法不封闭,无法直接求取,所以我们需要引入一个新的量,通过对该量的计算间接获得对变换矩阵T的求导,这个引入的量就是李代数。
数学层面的导出
(之后的部分《视觉SLAM 十四讲》里写得已经很精炼很清楚了,这里大概重述一遍以加深印象,也方便以后的查询)
先给一个结论:李代数对应李群的正切空间,描述了李群的局部导数。
这里用旋转矩阵群SO(3)为例:\
我们知道旋转矩阵满足以下关系:
然后引入时间变量$t$变为时间的函数$R(t)$,即是有:
对两边求导得到:
整理得:
可见,$\dot{R}(t)R(t)^{T}$是一个反对称矩阵。用符号$^{\land}$表示反对称矩阵,设:
则$a^{\land}$为:
同理:
我们设一个三维向量$\phi(t)\in\Re^{3}$与反对称矩阵$\dot{R}(t)R(t)^{T}$对应,即:
等式两边右乘$R(t)$,由于$R$为正交阵,得:
由此可见,每对$R$求一次导数,只需左乘一个$\phi^{\land}(t)$即可。\
当$t=0$时,设此时$R(0)=I$,把$R(t)$在$t=0$附近进行一阶泰勒展开得:
可见,$\phi$反映了$R$的导数性质,所以称它为SO(3)原点附近的正切空间。同时在$t_{0}$附近设$\phi$保持为常数$\phi(t_{0})=\phi_{0}$,故有:
这是一个关于$R$的微分方程,且初始值$R(0)=I$,解得:
表明,旋转矩阵可由$exp(\phi_{0}^{\land}t)$计算出来,给定某时刻的$R$我们就能求得一个$\phi$,它描述$R$在局部的导数关系,这个$\phi$正是对应到SO(3)上的李代数so(3)。
4. 李代数的定义
每个李群都有其对应的李代数,一般李代数的定义如下:
二元运算[,]称为李括号,表达两元素的差异。举个例子,三维向量$\Re^{3}$的叉积就是一种李括号,因此$g=(\Re^{3},\Re,\times)$构成了一个李代数。
5. 李代数so(3)
由上面的结果可得,三维向量$\phi$为李群SO(3)所对应的,定义在$\Re^{3}$上的李代数,每个$\phi$对应一个反对称矩阵:
两个向量$\phi_{1},\phi_{2}$的李括号为:
它与SO(3)的关系由指数映射指定:
6. 李代数se(3)
SE(3)对应的李代数se(3)与so(3)类似,但其定义在$\Re^{6}$空间中,如下:
我们把每个se(3)的元素记作$\xi$,表示一个六维向量,前三维表平移,但不同于变换矩阵的平移,记作$\rho$,后三维表旋转,记作$\phi$,其实就是上面提到的so(3)元素。se(3)表示如下(注:这里的$\land$不再表示反对称矩阵,而是表示六维向量向四维矩阵的转换):
(注:$\land$和$\vee$这里表示“从向量到矩阵”和“从矩阵到向量”,se(3)可理解成:由平移加上一个so(3)元素构成的向量)\
其李括号为:
7. 指数与对数映射
矩阵的指数如$exp(\phi^{\land})$在李群李代数中称为指数映射。
关于so(3)的映射
那么如何计算$exp(\phi^{\land})$呢?首先,任何矩阵$A$的指数都可以表示成一个泰勒展开,但只有收敛的情况下才会有结果,结果如下:
即是对so(3)的元素有:
但要计算这个太复杂,因为有无穷次幂。所以一般情况下我们用下面的方法:$\phi$是一个三维向量,我们定义其模长和方向,分别记为$\theta$和$a$,写作$\phi=\theta a$,这里$a$的模长为1.即: $||a||=1$:
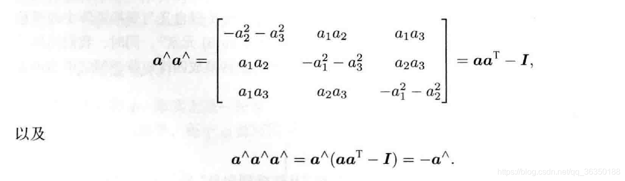
对于$a^{\land}$有以下性质:
图里的两个式子提供了处理高阶$a^{\land}$的方法,所以其指数映射可写成一个神奇的形式:(最好自己写一遍)

这个式子与罗德里格斯公式如出一辙。
这里简单回顾下罗德里格斯公式(旋转向量到旋转矩阵的转化):
所以角度为:
这表明,so(3)实际就是由旋转向量组成的空间,而指数映射即是罗德里格斯公式。\
反之,通过对数映射也可以将SO(3)的元素对应到so(3)中:
对这个式子的求解也没必要用泰勒展开,而是可以通过迹的性质分别求解转角和转轴(上面回顾罗德里格斯公式的时候已经一起列出来了)。\
最后需要提一下:每个SO(3)中的元素都可以找到一个so(3)元素与之对应,但一个so(3)元素却可能有多个SO(3)中的元素,直观一点理解的话:比如旋转360度会对应一个周期。
关于se(3)的映射(待补充。。。)
与so(3)的过程类似,所以这里主要给结论(这个过程没具体算,之后补上。)。\
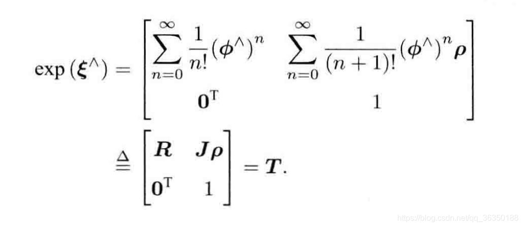
se(3)的指数映射形式如下:
同样令$\phi=\theta a$,$a$为单位向量,则:
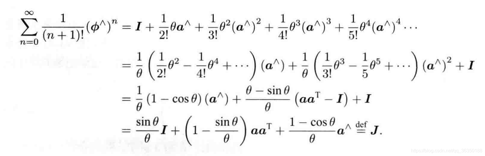
从结果来看,$\xi$的指数映射左上角的$R$就是上面的SO(3),与se(3)中的旋转部分$\phi$对应,而右上角的$J$由上面图里的推导给出,即:
映射表*
这里给出SO(3), SE(3), so(3), se(3)的对应映射表
本文主要参考《视觉SLAM十四讲》